Logo Fracsima DISROC Examples DISROC

DISROC 5 -  Example: Other Examples

Effect of grain boundary sliding on the strain rate sensitivity of metal alloys

Disroc offers great facility for analyzing polycrystalline behavior especially related to grain boundary effects. In fact, Disroc makes it easy to create complex geometries of polycrystalline aggregates with grain boundaries modeled as joint or interface elements, and Disroc's Materials Catalog includes advanced constitutive models for elastoplastic, viscous, and elastoplastic and damage behavior of interfaces.

This example in which the effects of slip at grain boundaries were analyzed with Disroc is taken from the PhD thesis of Anchal Goyal, Ecole Polytechnique, Paris, 2018 [1]

The deformation mechanisms of polycrystalline aggregates combine the contributions of intragranular deformation and grain boundary sliding (GBS). The effect of GBS on the deformation of fine-grained to ultra-fine metal alloys was investigated by numerical simulation using Disroc. The relative contribution of GBS to the total strain depends on the grain size. Indeed, the total deformation of the aggregate is given by:

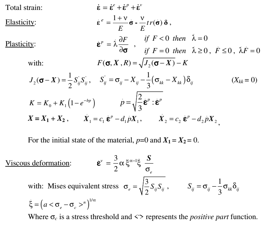
Deformation Equations

Where V designates the elementary volume of the material, εvp the viscoplastic strain of the grains, Γk the boundary surface of the grain number k, n(k) the unit normal on this surface and Uv(k) the viscous sliding. This expression shows that the contribution of GBS to the macroscopic strain depends on the area of the grain boundaries for the unit volume and thus on the grain size. The mechanical behavior of metal alloys is therefore sensitive to their grain size.

Objective of the following numerical simulations by Disroc was to analyze the effect of grain size on the creep behavior of the polycrystalline aggregate for comparison with some experimental data. The viscous slip on the interfaces in Disroc obeys a general creep law which, for a constant stress (τ, σn) applied on interface, leads to the following expression of the viscous slip displacement Utv as a function of time [2]:

Sliding Equations

In this equation <.> designates the positive part, φ is a friction angle type parameter, τc the shear threshold for viscous sliding and bt, q and α material parameters and st = ±1 is the sign of τ. A simplified version of this model with φ = 0, τc = 0 and α= 1 was used in the simulations.

The grain deformation mechanisms include elastic, plastic and viscous contributions. The plastic model of deformation includes two kinematic and isotropic hardening mechanisms. The viscous model uses supposes the strain hardening mechanism or the Lemaitre law. The constitutive equations of this grain deformation model are given in the following frame [2]:

Constitutive Model
Constitutive model of the viscoplastic grains [2]

Representative Elementary Volume (REV) for the polycrystalline aggregate was inspired for its grain geometry by images of metal alloys surface (Fig. 1).

Metal Alloy
Fig. 1: Microstructure of the Coarse-Grained Aluminum alloy [1]

Using Disroc's mesh tools, a Finite Element mesh was created for this model with grain boundary interfaces represented by interface elements. The relative ease of geometry creation and meshing with the Disroc made it possible to test different REVs with a different number of grains, and for each grain number, different mesh refinements to examine their effects on the numerical results (Figure 2). Constitutive models above were attributed to grains and grain boundary elements.

REV Mesh a REV Mesh b Metal Alloy
Fig. 2: Two models with the same grain geometry and different mesh refinements (left and middle). For each model, the nodes on the grain boundaries are duplicated to create four-node joint elements of zero thickness (right).

Disroc homogenization functions allow applying automatically specific loads to the REV corresponding to different cases and directions of uniform stress or of linear displacement conditions on the boundaries. For this study, simple tension and relaxation tests were simulated corresponding to experimental tests.

REV Loading Fig. 3: A schematic 2D model used for the simulations [1]

The macroscopic strain and stress quantities were calculated by Disroc by separating the contributions to the macroscopic strain from the grains deformation and GBS. The Figure 4 shows the stress-strain curves obtained for five different mesh refinements and two different grain numbers in the REV. As expected, there is less dispersion and less mesh refinement effect for a larger REV (i.e. greater grain number). These curves could be compared to the experimental results to validate the model. The Figure 5 shows the relative contribution of GBS to the total strain in these numerical simulations, valuable information that could not be easily obtained from the experimental results.

Stress/Strain Curve Stress/Strain Curve
Fig. 4: Stress-strain curves for two different REV sizes (15 and 30 grains) and for 5 different mesh refinements (see [1] for more details).
GBS percent Curve GBS percent Curve
Fig. 5: Contribution of GBS to the total strain for two different REV sizes (15 and 30 grains) and for 5 different mesh refinements (see [1] for more details).

For the same REV model with a given grain geometry, the values assigned to the parameters of the constitutive model implicitly assume a length scale and therefore a grain size. Thus, the effect of grain size can be analyzed on the same mesh. The Figure 5 shows the viscous slip at the grain boundaries for the Coarse-Grained material. In UFG material, GBS is much more frequent and large steps are performed by sliding at GBs on free surfaces (Figure 6).

Grain Boundary Sliding
Fig. 6: Inelastic sliding displacements at GBs after 8% deformation at 2×10-4 s-1, at 200?C in Coarse-Grained material

The following figures show qualitatively the effect of grain size distribution on grain rotation associated with GBS. The grain rotation is indicated by curved arrows in the figure and is more important for the UFG material. Disroc has a special function allowing to calculate the rotation component of the displacement field at Gauss points. Disroc is also able to analyze and individualize the grains within an aggregate and thus the average rotation can be defined at the grain scale.

Grain Rotation Grain Rotation
Fig. 7: Normalized axial displacement maps after 8% deformation at 2×10-4 s-1, at 200?C in Coarse Grained (left) and Ultra Fine Grained (right) materials [1]

Overall, the results of the simulations made it possible to show the creep sensitivity of fine-grained to ultra-fine grained aluminum alloys to the grain size in relation to and the confirmation of experimental tests. They also provided insight into the possible cooperation between grain boundary slip and grain rotation which can lead to macro-scale shear band formation [3]. More recent versions of Disorc, developed after this doctoral work, are able to simulate the formation of shear bands due to strain localization [4].


References

[1] Anchal Goyal (2018). Mechanical behaviour of ultra-fine grained Al 5083 alloy: Analysis and modelling of the role of grain boundaries to overall plastic deformation. PhD thesis, Ecole Polytechnique, Paris, 2018
[2] Disroc, Catalog of Materials, Fracsima 2020, http://www.fracsima.com/DISROC/Materials-Catalog.pdf
[3] A. GOYAL, V. DOQUET, and A. POUYA (2019), Grain Boundary Sliding and Strain Rate Sensitivity of Coarse and Fine/Ultrafine Grained 5083 Aluminum Alloys. Metall. Mater. Trans. A, 2019, DOI 10.1007/s11661-019-05583-5
[4] Fracsima, Shear Bands and Shear Fractures due to strain localization. http://www.fracsima.com/DISROC/Examples/FracturedEDZ/FracturedEDZ.html