Logo Fracsima DISROC Materials


DISROC 5 -  Material: ANELVIP Other Materials

Anisotropic Elasto-Visco-Plastic material (ANELVIP)

A variety of rocks at great depth exhibits a highly non-linear behavior including plasticity and creep which can be, moreover, anisotropic. The ANELVIP model (31330) in Disroc is very complete model allowing to define:

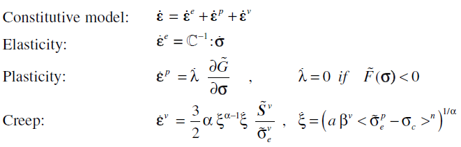
Constitutive Model
Figure 1: The constitutive model of the ANELVIP material

In addition the Mohr-Coulomb criterion can be truncated by a tensile strength smaller than that predicted by the basic model as a function of the cohesion and the friction angle. Also, the creep model can include a threshold stress below which there is no creep. This stress threshold is important to limit longterm creep and convergence of deep openings.

I) Elasticity

The elastic anisotropy is supposed to be of ellipsoidal shape, which means that the fourth root of the Young's modulus in different directions defines an ellipsoidal surface (Figure). The elastic tensor is defined by 3 Young's modulus in different directions and a Poisson's ratio. The ANELVIP model assumes transverse isotropy around the direction E1 (direction normal to the bedding plane or schistosity plane), and then E1=E3. The direction of anisotropy axes with the axes of coordinates can make an angle omega.

Ellipsoidal Anisotropy
Figure 2: Ellipsoidal anisotropy for the Young's modulus variation [Ref1]
[Ref2]

II) Plasticity

The ANELVIP model contains an "option" parameter allowing to choose if the strength of the material by is to be defined by the Mohr-Coulomb criterion (option 0) or by the Drucker-Prager criterion (option 1,2,3). The Mohr-Coulomb criterion is truncated by a tensile strength Sigma_T.

Truncated Mohr-Coulomb 2D Fig.3a: Mohr-Coulomb criterion truncated by the tensile strength Sigma_T in shear-sigma_n plane Truncated Mohr-Coulomb 3D Fig.3b: Truncated Mohr-Coulomb criterion in principal stresses space

The Drucker-Prager criterion parameters are defined by and angle Alpha and a stress parameter K (Figure 4a) which can be related to Mohr-Coulomb's cohesion and friction angle. Three different options are considered in order to make the Drucker-Prager criterion corresponding to a given Mohr-Coulomb criterion. The first one defines a circular section in the octahedral plane whereas the second one a non-regular hexagonal section (Fig. 4b). Three options to approximate the hexagon by a circle are: the circle passing through the external corners (option 1, green circle) , through the internal corners (option 2, red circle) or tangent to the faces of hexagon (option 3, dashed-line circle).

Drucker-Prager cone Fig.4a: Drucker-Prager criterion MC Hexagon and DP circles Fig.4b: Correspondence between the Mohr-Coulomb and the Drucker-Prager criteria with 3 different options

Note that Mohr-Coulomb and Ducker-Prager are isotropic strength criteria. To take into account the strength anisotropy a transformed stress is introduced in the criterion. The transformation is defined by rigorous tensorial equations resulting in particular in multiplying a uniaxial stress in a given direction by a factor beta which is direction dependant. The uniaxial compressive strength is in this way made anisotropic. Two parameters of anisotropy for axial and shear stresses denoted aN and aT, allow to create adequate anisotropic models for a variety of materilas. Two examples of these models for a weakly anisotropic rock and a highly anisotropic jointed rock is given in Figure 5.

Strength Weak Anisotropy
Figure 5a: Anisotropy of the compressive strength for a weakly anisotropic rock matrix: omega=18°, aN=0.4, aT=0.183
Strength Anisotropy Jointed Rock
Figure 5b: Anisotropy of the compressive strength for a highly anisotropic jointed rock: omega=18°, aN=0.4, aT=0.7

III) Creep

The viscous deformation of the material is defined by Lemaitre creep law which represents an extension of the Norton-Hoff law. The Norton-Hoff law produces well the non-linear stress dependency of the viscous deformation rate as well as a steady state creep. But the steady state creep, with a constant viscous strain rate, overestimates the longterm deformation of the material and so the convergence in deep tunnels. In the Lemaitre creep law the strain rate decreases continuously with time under a constant stress. This allows limiting the longterm deformation of the material.

In addition, the creep law contains a stress threshold below which the viscous deformation can not take place. This threshold is very useful to control the longterm convergence of tunnels at greet depth because the deformation around tunnels causes a stress relaxation and a decrease of stress deviator which after some period of convergence can fall below the stress threshold and so the creep stops.

In the ANELVIP the Lemaitre creep law is applied to a transformed stress and in this way the anisotropic creep properties of the material can be introduced in the model (Figure 6).

Strength Anisotropy
Figure 6: Creep rate in different directions for anisotropic creep model

See the example of application of this model to the creep of deep tunnels in squeezing rocks: Squeezing tunnel




More information: Materials , Functionalities , Disroc Diaporama


Conatct:
Fracsima, 4 Impasse Doron, 94410, Arcueil Phone: (33) 622160175,   Email: fracsima@fracsima.com
Contact Us

Copyright Fracsima